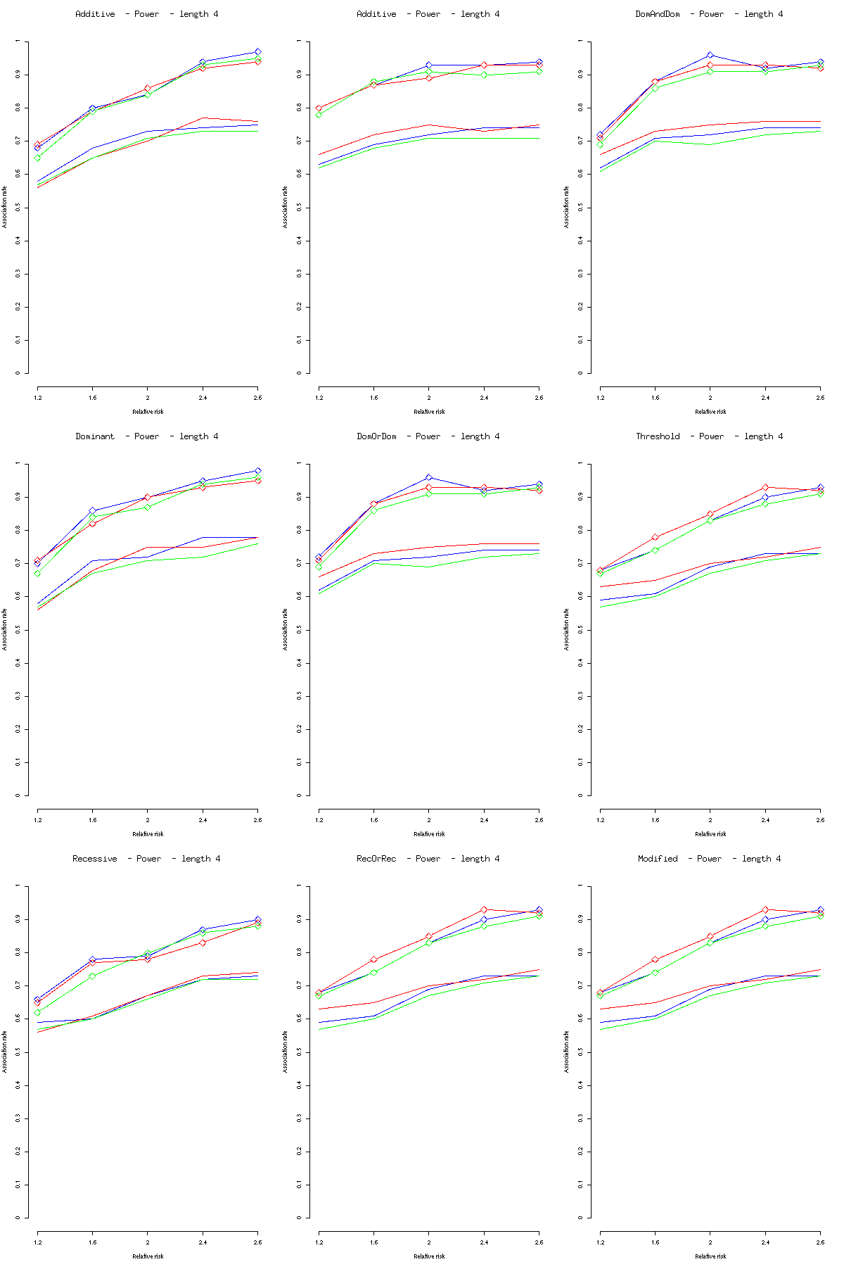
Multimarker TDTs
One disease susceptibility locus
Color codes:
TDT results:
Red: mTDT
P
Blue: mTDT
Green: mTDT
Y
Continuous line: Common variants
Lines with diamonds: Rare variants