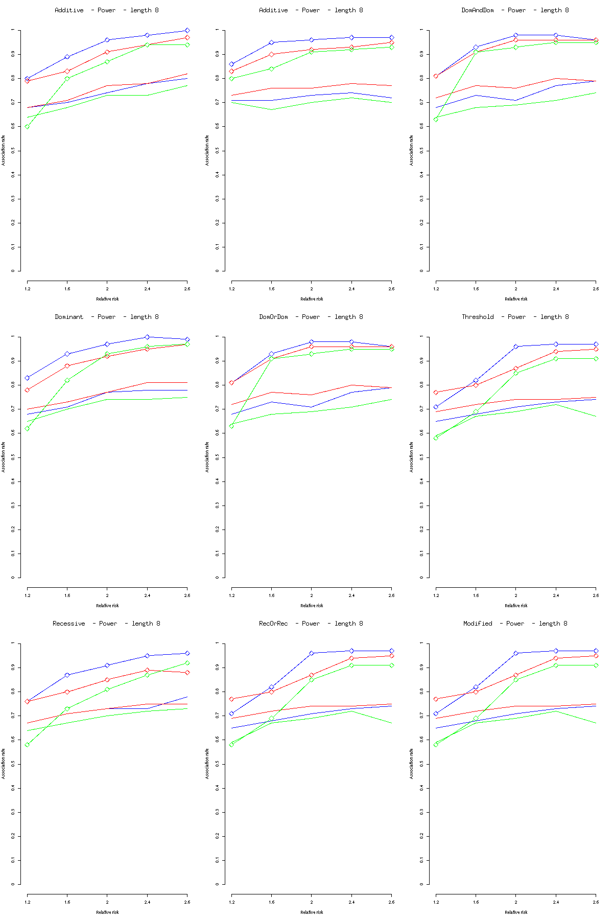
Multimarker TDTs

One disease susceptibility locus

Color codes:

TDT results:
  • Continuous line: Common variants
  • Lines with diamonds: Rare variants